TUGAS UAS 2

                                         



                                                     [Kembali ke Halaman Sebelumnya]

Pengaturan Kecepatan Putaran Motor Induksi 3 Fasa Menggunakan Programmable logic controller

Referensi : https://jurnal.uisu.ac.id/index.php/jet/article/view/545/478

1. Tujuan

  1. Mensimulasikan sebuah sistem penggerak cerdas dengan Algoritma JST metode BP
  2. Mempelajari dan memanfaatkan toolbox neural network (NN) dan simulink pada Matlab sebagai media pelatikan dan simulasinya

2. Algoritma Backpropagation

Pengertian Backpropagation

Backpropagation adalah algoritma pembelajaran untuk memperkecil tingkat error dengan cara menyesuaikan bobotnya berdasarkan perbedaan output dan target yang diinginkan. Backpropagation juga merupakan sebuah metode sistematik untuk pelatihan multilayer JST. Backpopagation dikatakan sebagai algoritma pelatihan multilayer karena Backpropagation memiliki tiga layer dalam proses pelatihannya, yaitu input layer, hidden layer dan output layer, dimana backpropagation ini merupakan perkembangan dari single layer network (Jaringan Layar Tunggal) yang memiliki dua layer, yaitu input layer dan output layer. Dengan adanya hidden layer pada backpropagation dapat menyebabkan besarnya tingkat error pada backpropagation lebih kecil dibanding tingkat error pada single layer network. Hal tersebut dikarenakan hidden layer pada backpropagation berfungsi sebagai tempat untuk mengupdate dan menyesuaikan bobot, sehingga didapatkan nilai bobot yang baru yang bisa diarahkan mendekati dengan target output yang diinginkan.

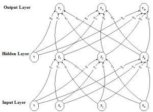
Arsitektur Backpropagation

Arsitektur algoritma backpropagation terdiri dari tiga layer, yaitu input layer, hidden layer dan output layer. Pada input layer tidak terjadi proses komputasi, namun pada input layer terjadi pengiriman sinyal input X ke hidden layer. Pada hidden dan output layer terjadi proses komputasi terhadap bobot dan bias dan dihitung pula besarnya output dari hidden dan output layer tersebut berdasarkan fungsi aktivasi tertentu. Dalam algoritma backpropagation ini digunakan fungsi aktivasi sigmoid biner, karena output yang diharapkan bernilai antara 0 sampai 1.


Gambar 3.1 Arsitektur Backpropagation Secara Horizontal




Gambar 3.2 Arsitektur Backpropagation Secara Horizontal


3. Data Percobaan







4. Percobaan

1. Memulai menggunakan Neural Network Toolbox

Ketik di command Windows  : fx >> nntool

2. Tampilan "nntool"






3. Memasukan data inputan dan outputan
Pilih "Creat" dan buat input data untuk tegangan

4.  Tampilan Network
Pilih "Create" dan buat network untuk membuat menu network.



5.  Tampilan Neural Network dengan JST



6. Tampilan Neurat Netowk Train




7. Menjalankan Neural Network
Pilih Train Network pada NN




Grafik Training



Grafik Performance




Grafik Target



5. Vidio






Tidak ada komentar:

Posting Komentar

Bahan Presentasi Untuk Matakuliah  Elektronika Dan Sensor Dosen Pengampu :  Darwison, MT  OLEH : MUHAMMAD RIFDAL (1...